728x90
반응형
이진 탐색 트리 BST(Binary Search Tree)
Data Structure 네 번째 스터디 : BST (Binary Search Tree)
이진 탐색 트리의 목적
| 이진 탐색 | 연결 리스트 |
| 탐색 O(logN) | 탐색 O(N) |
| 삽입, 삭제 불가능 | 삽입, 삭제 O(1) |
→ 위 두 가지를 합하여 장점을 모두 얻도록 고안된 것
→ 효율적인 탐색 능력 + 자료의 삽입/삭제도 가능하도록 함
→ 주요 연산: 노드 검색, 노드 삽입/삭제, 트리 생성/삭제
이진 탐색 트리의 특징 및 규칙

- 중복된 노드가 없이 노드에 저장된 키는 유일하다
- 중복이 많을 경우에는 검색을 목적으로 하는 이 자료구조에 적합하지 않음
- 중복이 생기는 경우에는 트리에 삽입 X → 노드에 카운팅하는것이 더 효율적
- 부모 노드의 키가 왼쪽 서브트리를 구성하는 어떠한 노드의 키보다 크다
- 부모 노드의 키가 오른쪽 서브트리를 구성하는 어떠한 노드의 키보다 작다
- 모든 서브트리도 이진 탐색 트리의 조건을 만족한다
이진 탐색 트리의 시간복잡도
- 검색/삽입/삭제의 시간 복잡도는 트리의 깊이에 비례
- 균등 트리: O(logN)
- 편향 트리: O(N)
- 편향된 경우를 방지하기 위해서 개선된 트리는 AVL Tree, RedBlack Tree 등이 있음
이진 탐색 트리의 삽입/삭제 방법
- 삽입 방법 (항상 리프노드에 삽입)
- Root 에서 시작
- 삽입 값을 루트와 비교
- 루트보다 작으면 왼쪽으로 재귀 or 크다면 오른쪽으로 재귀
- 리프 노드에 도달했다면, 리프노드보다 작으면 왼쪽, 크면 오른쪽에 삽입
- 삭제 방법
- 삭제할 노드가 리프노드인 경우
- 작업 대상 노드 삭제
- 종료
- 삭제할 노드에 자식이 하나만 있는 경우
- 작업 대상 노드 삭제
- 자식 노드를 삭제된 노드의 부모에 연결
- 종료
- 삭제할 노드에 자식이 두 개 모두 있는 경우 (surrcessor 노드 찾기 과정 추가)
- 작업 대상 노드 찾기
- 삭제 노드의 successor 노드(=right subtree의 최소값) 찾기
- 삭제할 노드와 successor 노드의 값 교환
- successor 노드를 삭제
- 종료
- 삭제할 노드가 리프노드인 경우
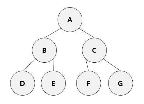
이진 탐색 트리의 순회 방법

- 전위 순회(Pre Order): 루트(부모노드) → 왼쪽 자식 노드 → 오른쪽 자식 노드
- 예: A→B→D→E→C→F→G
- 중위 순회(In Order): 왼쪽 자식 노드 → 루트(부모노드) → 오른쪽 자식 노드
- 예: D→B→E→A→F→C→G
- 후위 순회(Post Prder): 왼쪽 자식 노드 → 오른쪽 자식 노드 → 루트(부모노드)
- 예: D→E→B→F→G→C→A
참고문헌
728x90
반응형